|
|
|
| |
Research Article
|
|
Effect of Copper Sulfate on Molt and Reproduction in Shrimp Litopenaeus vannamei |
|
|
M. Sreenivasa Rao
and
N. Anjaneyulu
|
| |
|
|
ABSTRACT
|
The effect of copper sulfate in the regulation of molt and gonad development
in the shrimp Litopenaeus vannamei was investigated. Initially,
we determine the copper sulfate safe level for use in culture medium shrimps.
Six concentrations of copper sulfate (0, 0.01, 0.05, 0.1, 0.2, 0.5 mg
L-1) were tested in 10 L glass aquaria for 15 days. After 15
days, survival of the control treatment (0% CuSO4) averaged
100%. The survival in 0.01, 0.05, 0.10 and 0.20 mg L-1 (100,
100 and 98%) concentrations of CuSO4 were significantly greater
than the higher dose treatment (0.50 mg L-1 CuSO4;
survival 43%). The copper (0.05 mg L-1) exposed shrimps accelerated
the molting (premolt stage: female, 100%; males, 90%). The copper (0.10
mg L-1) exposed shrimps accelerated the both molting and reproduction
(premolt stage: female, 50%; males, 40%). The copper (0.20 mg L-1)
exposed animals significantly (p<0.0001) increased mean oocyte diameter
and testicular follicle diameter as well as mean gonad indices from the
control as well as other treated shrimps. These results provide strong
evidence that trace amount of copper is an essential for both molting
and reproduction in shrimps.
|
|
| |
|
|
|
INTRODUCTION
The X-organ-sinus gland (XO-SG) complex is the main neuroendocrine
organ of crustaceans. It is a part of the medulla terminalis in the eyestalk.
This XO-SG synthesize and secreted the several peptide hormones such as
Crustacean Hyperglycemic Hormone (CHH), Molt Inhibiting Hormone (MIH),
Gonad Inhibiting Hormone (GIH) and several color change hormones (controlling
pigment migration). Molting is controlled by MIH acting on the so-called
Y-organs, a pair of structures homologous to the prothoracic organs of
insects. They are non-neural endocrine organs, which are secreted ecdysone
(Huberman, 2000; Nagaraju, 2007; Rodriguez et al., 2007). The endocrine
control of reproduction is more complex event. In females, the eyestalk
hormone GIH directly inhibits the oocyte development, regulating the uptake
of vitellogenenin from the hemolymph during secondary vitellogenesis (Charniaux-Cotton
and Payen, 1988).
Other, neuroendocrine centers outside the eyestalks also contribute in
the regulation of crustacean reproduction. Among them, the brain and thoracic
ganglia have been identified as sources of a neuropeptide hormone called
Gonad Stimulating Hormone (GSH). Although GSH has not yet been purified,
several in vivo and in vitro studies showed the stimulating
effects of the brain and thoracic ganglia on ovarian growth (Nagaraju,
2007; Fingerman, 1997). Reproduction of crustacean males involves a special
endocrine gland, the Androgenic Gland (AG). This is a paired structure,
one being attached to each vas deferens. The testes are directly controlled
by a hormone secreted by the AG, called the Androgenic Gland Hormone (AGH),
with GSH and GIH influencing the secretion of AGH, instead of directly
acting on the testes. AGH determines the normal development of both the
male reproductive system and male secondary sexual characters (Fingerman
et al., 1998).
Copper is an essential trace mineral in animal and human nutrition. It
is also a potentially toxic substance. Copper exists in the oxidation
states Cu (I) or Cu+ (cuprous) and Cu (II) or Cu2+
(Cupric) under physiological conditions. Crustaceans can regulate their
body copper concentration, which is required for hemocyanin synthesis
(White and Rainbow, 1982). Several studies have shown that crustaceans
are adversely affected when exposed to high concentrations of copper.
Exposure to high copper disrupted respiration in Carcinus maenas
(Nonnotte et al., 1993) and it also affected osmoregulation in
C. maenas (Hansen et al., 1992). But trace amount of copper
is essential for the proper functioning of copper-dependent enzymes (Hassall
and Dangerfield, 1990). Most crustaceans possess hemocyanin containing
much copper as their main oxygen-carrying blood protein (Dallinger, 1977;
Rao et al., 2007a, b). The limit between the requirement and toxicity
of copper is delicate and dependent on a variety of endogenous and exogenous
factors (Weber et al., 1992). We have studied the changes of copper
profiles in different molt and reproductive stages in shrimp Litopenaeus
vannamei (Rao et al., 2007a, b).
The objectives of this study were: to evaluate the effect of copper on
shrimp L. vannamei survival and to determine the exposure of copper
on molt and reproduction in shrimp L. vannamei.
MATERIALS AND METHODS
The shrimps (Litopenaeus vannamei) were collected from fresh
market at Chirala (Andhra Pradesh, South India). The shrimps were brought
to the laboratory and maintained in the laboratory at 28±1°C
in tubs partially filled with aged seawater. They were acclimatized to
laboratory conditions (12:12 L:D) for at least 7 days before being used
in experiments. The water in the tubs was changed daily.
In all experiments only intact, uninjured shrimps (body weight 19±2
g © carapace length between 21.0 and 23.0 mm) were selected. During
their sojourn, the shrimps were fed on shrimp pellet ad libitum
and the medium was changed 2 h after feeding. Only intermolt (stage C4)
shrimps were used to study the effect of copper sulfate on survival, molt
and reproduction.
Copper Sulfate Treatment
Copper sulfate penta-hydrate (CuSO4.5H2O) used in
the present investigation were of analytical grade (E. MERCK, Mumbai,
India). Stock copper sulfate solution was freshly prepared and added to
each glass aquaria containing 10 L aged sea water to achievement the required
range of copper concentration of 0.00 (control), 0.01, 0.05, 0.10, 0.20,
0.50 mg L-1) for each group of shrimps. The aquaria`s were
provided with continuous aeration from an air blower One hundred twenty
crabs were divided into twelve groups of 10 shrimps each. Groups with
odd numbers were males and those with even numbers were females. Groups
1 and 2 served as control and the shrimps in these groups not exposed
to copper treatment. Shrimps in group 3 and 4 exposed to copper concentration
0.01 mg L-1; group 5 and 6 exposed to copper concentration
0.05 mg L-1; group 7 and 8 exposed to copper concentration
0.10 mg L-1 group 9 and 10 exposed to copper concentration
0.20 mg L-1 group 11 and 12 exposed to copper concentration
0.50 mg L-1. The shrimps were sacrificed on day 16. mortality
of the shrimps was noted.
Isolation of Organs
The shrimps were immobilized by chilling on ice for 5 min. The body
weights of the shrimps were determined. The reproductive organs were isolated,
immediately placed in ice-cold crustacean physiological saline (Van Harreveld,
1936) to scrap off adhesive tissue. The organs were removed from the saline
and lightly blotted with the paper towels, weighed wet on an electronic
balance. The reproductive stages in the shrimps were identified according
to Nagaraju et al. (2004). The gonad indices were determined using
the standard formula:
The diameters of 25 randomly chosen oocytes/ testicular follicles were
measured using an ocular micrometer on a microscope.
Identification of Molt Stages
There are three molt stages: postmolt (A, B), intermolt © and premolt
(D) which can be distinguished by the degree of hardness of the exoskeleton.
The molt stages were observed using setal development in the endopodites
of the pleopods as described for this shrimp (Chan et al., 1988).
Microscopic examination of the setae gives a clear indication of the molting
stages of L. vannamei.
Statistical Analysis
The data were analyzed using one-way ANOVA followed by Student-Newman-Keul`s
test to determine the level of significance.
RESULTS
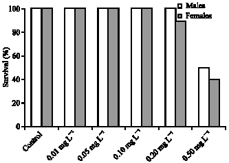
Effect of Copper Sulfate on Survival of Shrimps
The survival in the 0.0, 0.01, 0.05, 0.10 and 0.20 mg L-1 (In
males, 100, 100, 100, 100 and 100%; females,100, 100, 100, 100 and 90%,
respectively) concentrations of CuSO4 were significantly greater
(p<0.05) than higher dose treatments (0.50 mg L-1); but
were not significantly different from each other (p>0.05; Fig.
1). Treatment containing 0.50 mg L-1 copper sulfate results
a dramatic decrease in shrimp survival (males, 50%; females 40%).
Effect of Copper Sulfate on Molting of Shrimps
All control shrimps were in the intermolt stage (C4). The concentration
0.05 mg L-1 copper exposed shrimps enter into premolt stage
(males 90% and females100%). The copper (0.10 mg L-1) exposed
shrimps accelerated the both molting and reproduction (premolted; female
50% and males 40%). The concentration of copper 0.01, 0.20 and 0.50 mg
L-1 did not showed any effect on molting. Effect of copper
sulfate on reproduction of shrimps: All concentration of copper exposed
shrimps significantly (p<0.0001) increased the testicular index and
mean testicular follicle diameter when compared with the corresponding
values for the control (Table 1). The concentration
of copper (0.10 and 0.20 mg L-1) exposed shrimps mean testicular
index and mean testicular follicle diameter significantly (p<0.0001)
greater than the other copper (0.01, 0.05 and 0.50 mg L-1)
exposed shrimps (Table 1).
|
| Fig. 1: |
Effect of copper sulfate on survival of shrimps |
| Table 1: |
Exposure of copper sulfate on molting and testicular development
in male shrimp, L. vannamei |
|
| Values are mean±SD. Values in parentheses are
% change from control shrimps |
| Table 2: |
Exposure of copper sulfate on molt and ovarian development in female
shrimp, L. vannamei |
|
| Values are mean±S.D. Values in parentheses are
% change from control shrimps |
All concentration of copper exposed shrimps significantly (p<0.0001)
increased the ovarian index and mean oocyte diameter when compared with
the corresponding values for the control (Table 2).
The concentration of copper 0.10 mg L-1 exposed animals entered
into vitellogenic stage 2 as well as copper 0.20 mg L-1 exposed
shrimps entered into vitellogenic stage 3. All other copper concentrations
(0.01, 0.05 and 0.50 mg L-1) exposed shrimps entered into vitellogenic
stage I (Table 2).
The color of the ovary at different reproductive stages in the white
shrimp L. vannamei is (Table 2). In shrimps,
oogonial proliferation and ovarian differentiation takes place when the
ovary is translucent to opaque white (previtellogenic ovary). During vitellogenesis
the color of the ovary changes from pale yellow (vitellogenic stage 1)
to dark yellow (vitellogenic stage 2) and then it become orange (vitellogenic
stage 3) to dark orange prior to spawning. Maturation of the ovary also
includes an increase in size of ovary as the oocytes proliferate and increase
in diameter, due to yolk deposition (Table 2).
DISCUSSION
It is well-known that eyestalk ablation induces gonad development
and oviposition. This is because the source of GIH is removed by the ablation.
However, GIH has not yet been identified in any shrimp (Rodriguez et
al., 2007). Previously, we observed the increase of copper and protein
levels in the hepatopancreas and hemolymph from postmolt to pretmolt stages.
Similarly, the hemocyanin concentration also increased significantly in
hemolymph from postmolt to premolt stages (Rao et al., 2007b).
The protein and hemocyanin concentration significantly increased from
the previtellogenic stage to vitellogenic stage 3 in the hemolymph. Similarly
the protein concentration significantly increased in the both hapatopancreas
and ovary from previtellogenic stage to vitellogenic stage 3. These results
provide evidence to support the hypothesis that the ovarian vitellin (protein)
source is hepatopancreas (Rao et al., 2007a). These results also
suggest that copper is an important element in ovarian development of
crustaceans. During the molt cycle, trace metal concentrations in the
hepatopancreas and hemocyanin concentration in the hemolymph of blue crabs
changes significantly (Engel and Brouwer, 1987, 1991). The exoskeleton
of crustaceans is formed by cells of the hypodermis, but several hemolymph
proteins contribute to the synthesis of the new exoskeleton. These hemolymph
proteins share a surprising degree of sequence similarity and are members
of the hemocyanin gene family (Burmester, 2004). Copper-containing prophenoloxidases
of crustaceans are directly involved in cross-linking and hardening of
the exoskeleton during molting and repair. The hepatopancreas periodically
accumulates and releases copper during molting and starvation (Arumugam,
1989) and it has been shown to be the site of hemocyanin synthesis (Gellissen
et al., 1991; Spindler et al., 1992). Crustacean hemocyanin
proteins have been implicated in transport of hormones and phenols and
may be used directly as structural components of the new exoskeleton.
They are synthesized elsewhere in the body, transported in the hemolymph
and probably taken up by the hypodermis via specific receptors. Multiple
members of the hemocyanin gene family play vital roles during molting
and reproduction (Sellos et al., 1997; Terwilliger, 1999). Hemocyanin
is a copper containing, multi-subunit protein; it has evolved to carryout
the specialized functions of oxygen transport in arthropods and molluscans
(Burmester, 2004). Hemolymph concentration of hemocyanin fluctuates during
the molt cycle, reaching highest levels just before ecdysis (Rao et
al., 2007b). In adult crabs that undergo an annual molt, hemocyanin
levels fall to undetectable levels in the hemolymph during intermolt.
In rapidly growing juveniles with a much shorter molt cycle, hemolymph
hemocyanin decreases markedly during ecdysis but does not always totally
disappear (Terwilliger, 1999). Hemocyanin, like some of the insect hexamerins,
seems to be a molting protein involved in forming a new exoskeleton.
In the present study the exposure of copper stimulated molt and reproduction
in shrimp. These observations agree well with changes of copper, hemocyanin
and protein concentrations observed in the white shrimp Litopenaeus
vannamei in relation to size, reproductive and molt stage (Cheng et
al., 2002; Rao et al., 2007a, b). We hypothesized that the
copper thus accumulated from the medium and released back in to hemolymph
in the form of hemocyanin (copper-bound protein). During premolt, hemocyanins
give higher rise to respiratory rather than non-respiratory protein (vitellogenin).
On the basis of these results on molt and reproduction in shrimps, we
suggest that trace amount of copper may control, at least in part, both
molt and reproduction. Furthermore, this work will provide evidence to
the hypothesis that copper may be involved hormonal regulation. Further
studies are necessary to know the copper role in know copper role in hormonal
control.
ACKNOWLEDGMENTS
We are special thankful to Correspondent, Sree Chundi Subbarao,
Chundi Ranganayakulu Postgraduate College, Chilakaluripet for providing
specialties and encouragement. This study was generously supported by
the University Grant Commission (UGC) grant, India.
|
|
REFERENCES |
1: Arumugam, M., 1989. Mobilization of copper among tissues in the estuarine crab Scylla serrata (Forskal) under imposed starvation. Arch. Int. Physiol. Biochem., 97: 247-257. CrossRef | Direct Link |
2: Burmester, T., 2004. Evolutionary history and diversity of arthropod hemocyanins. Micron, 35: 121-122. Direct Link |
3: Chan, S., S.M. Rankin and L.L. Keely, 1998. Characterizatian of the molt stages in penaeus varnameri. Setogenesis and henolymph levels of total protein, ecdysteroids and glueose. Biol. Bull., 175: 185-192.
4: Cheng, W., C.H. Liu, D.F. Yan and J.C. Chen, 2002. Hemolymph oxyhemocyanin, protein, osmolarity and electrolyte levels of white leg shrimp Litopenaeus vannamei in relation to size and molt stage. Aquaculture, 211: 325-339. Direct Link |
5: Charniaux-Cotton, H. and G. Payen, 1988. Crustacean Reproduction. In: Endocrinology of Selected Invertebrate Types, Laufer, H. and R.C.G. Downer (Eds.). Alan R. Liss, New York, USA., pp: 279-303.
6: Dallinger, R., 1977. The flow of copper through a terrestrial food chain. III. Selection of an optimum copper diet by isopods. Oecologia, 30: 273-276. CrossRef | Direct Link |
7: Engel, D.W. and M. Brouwer, 1987. Metal regulation and molting in the blue crab, Callinectes sapidus: Metallothionein function in metal metabolism. Biol. Bull., 173: 239-251. CrossRef | Direct Link |
8: Engel, D.W. and M. Brouwer, 1991. Short-term metallothionein and copper changes in blue crabs at ecdysis. Biol. Bull., 180: 447-452. CrossRef | Direct Link |
9: Fingerman, M., 1997. Roles of neurotransmitters in regulating reproductive hormone release and gonadal maturation in decapod crustaceans. Invert. Reprod. Dev., 31: 47-54. CrossRef | Direct Link |
10: Fingerman, M., N. Jackson and R. Nagabhushanam, 1998. Hormonally-regulated functions in crustaceans as biomarkers of environmental pollution. Comp. Biochem. Physiol., 120C: 343-350. CrossRef | Direct Link |
11: Gellissen, G., R. Henneke and K.D. Spindler, 1991. The site of synthesis of hemocyanin in the crayfish, Astacus leptodactylus. Experientia, 47: 194-195. CrossRef | Direct Link |
12: Hassall, M. and J.M. Dangerfield, 1990. Density-dependent processes in the population dynamics of Armadillidium vulgare (Isopoda: Oniscidae). J. Anim. Ecol., 59: 941-958. Direct Link |
13: Hansen, J.I., T. Mastafa and M. Depledge, 1992. Mechanisms of copper toxicity in the shore crab, Carcinus maenas. I. Effects on Na,K-ATPase activity, haemolymph electrolyte concentrations and tissue water contents. Mar. Biol., 114: 253-257. CrossRef | Direct Link |
14: Huberman, A., 2000. Shrimp endocrinology. A review. Aquaculture, 191: 191-208. Direct Link |
15: Nagaraju, G.P.C., P.R.Reddy and P.S. Reddy, 2004. Mandibular organ: it's relation to body weight, sex, molt and reproduction in the crab, Oziotelphusa senex senex Fabricius (1791). Aquaculture, 232: 603-612. CrossRef | Direct Link |
16: Nagaraju, G.P.C., 2007. Is methyl farnesoate a crustacean hormone. Aquaculture, 272: 39-54. Direct Link |
17: Nonnotte, L., F. Boitel and J.P. Truchot, 1993. Waterborne copper causes gill damage and hemolymph hypoxia in the shore crab Carcinus maenas. Can. J. Zool., 71: 1569-1576. CrossRef | Direct Link |
18: Rao, M.S., B. Rajitha, E. Pavitra and N. Anjaneyulu, 2007. Identification and changes of copper profiles in different tissues during vitellogenesis of white shrimp, Litopenaeus vannamei (Boone, 1931). J. Biol. Sci., 7: 989-992. CrossRef | Direct Link |
19: Rao, M.S., B. Rajitha, E. Pavitra and N. Anjaneyulu, 2008. Changes of copper and protein profiles in hepatopancreas and hemolymph tissues during different molt stages of white shrimp, Litopenaeus vannamei (Boone, 1931). Biotechnology, 7: 153-156. CrossRef | Direct Link |
20: Rodriguez, E.M., D.A. Medesani and M. Fingerman, 2007. Endocrine disruption in crustaceans due to pollutants: A review. Comp. Biochem. Physiol., 146: 661-671. Direct Link |
21: Sellos, D., S. Lemoine and A.V. Wormhoudt, 1997. Molecular cloning of hemocyanin cDNA from Penaeus vannamei (Crustacea, Decapoda): Structure, evolution and physiological aspects. FEBS. Lett., 407: 153-158. CrossRef | Direct Link |
22: Spindler, K.D., R. Hennecke and G. Gellissen, 1992. Protein production and the molting cycle in the crayfish Astacus leptodactylus (Nordmann, 1842): II. Hemocyanin and protein synthesis in the midgut gland. Gen. Comp. Endocrinol., 85: 248-253. CrossRef | Direct Link |
23: Terwilliger, N.B., 1999. Hemolymph proteins and molting in crustaceans and insects. Am. Zool., 39: 589-599. CrossRef | Direct Link |
24: Van Harreveld, A., 1936. A physiological solution for freshwater crustaceans. Proc. Soc. Exp. Biol. Med., 34: 428-432. Direct Link |
25: Weber, R.E., A. de Zwaan and A. Bang, 1992. Interactive effects of ambient copper and anoxic, temperature and salinity stress on survival and hemolymph and muscle tissue osmotic effectors in Mytilus edulis. J. Exp. Mar. Biol. Ecol., 159: 131-156. CrossRef | Direct Link |
26: White, S.L. and P.S. Rainbow, 1982. Regulation and accumulation of copper, zinc and cadmium by the shrimp Palaeman elegans. Mar. Ecol. Prog. Ser., 8: 95-101. Direct Link |
|
|
|
 |